HUMAN HEALTH and DISEASES

1. Health means (1) Complete physical well being (2) Complete mental well being (3) Complete social well being (4) All of the above 2. Enzyme homogentisic acid oxidase deficiency of leads to (1) Phenyl ketonuria (2) Alkaptonuria 3. AIDS is principally infects :- (1) all lymphocytes (2) activator B cells (3) T-4 lymphocytes (4) Cytotoxic T cells 4. AIDS is characterized by reduction in: (1) Mast cells (2) Neutrophils (3) RBC (4) Helper T-cells 5. …….. cell is not phagocytic in nature : (1) Monocyte (2) Macrophage (3) Neutrophil (4) N.K. cell 6. Mark the matching options:-
(1) A and B (2) B and C (3) A, B and C (4) Only C 7. HIV destroys (1) B–lymphocytes (2) Leucocytes (3) Thrombocytes (4) Helper T–lymphocytes 8. The saliva in the mouth and the tears from the eyes, belong to………. type of barriers under innate immunity, do? (1) Physiological barriers (2) Physical barriers (3) Cytokine barriers (4) Cellular barriers 9.………. regulate or coordinate other leucocytes . (1) Interferon (2) Cytokine (3) Phagocytic chemical (4) Enzyme 10. A female child with Down syndrome shows ………..number of Barr body. (1) 0 (2) 1 (3) 2 (4) All are correct 11. For the diagnosis of………. Widal test is used. (1) Typhoid (2) Malaria (3) Pneumonia (4) Tuberculosis 12.
(1) Peak of R-represent Tricuspid and bicuspid opening (2) T-wave ventricular depolarization (3) P-wave Depolarisation of atria (4) QRS-wave represents ventricular repolarisation 13. " Inflammation of lower limb in the Diagram" isdue to:-
(1) Filariasis (2) Elephantiasis (3) Ascariasis (4) 1 and 2 both 14. Find out the incorrect statementfrom the following:Entamoeba histolytica or amoebiasis is (a) Parasite of small intestine (b) Causes dysentery (c) Houseflies are mechanical carriers (d) Symptoms include constipation, abdominal pain and cramp. (1) a (2) c (3) a, c (4) All are correct 15. House flies are the carriers of (1) Amoebiasis (2) Malaria (3) Common cold (4) Plague 16. Plasmodium Motile zygote present in: (1) Human RBCs (2) Human liver (3) Gut of female Anopheles (4) Salivary glands of Anopheles 17. Select the correct option? (1) B -cells provide CMI (2) Interferon prevent the neighbouring cells from further viral infection (3) As the age increases, thymosin increases (4) T-cells produces antibodies 18. By cigarette smoking ………… chronic respiratory disorder caused mainly (1) Emphysema (2) Asthma (3) Respiratory acidosis (4) Respiratory alkalosis 19. In 1990 which kind of therapy was given to a four year old girl with adenosine deaminase (ADA) deficiency? (1) Immunotherapy (2) Radiation therapy (3) Gene therapy (4) Chemotherapy 20. Preformed antibodies are present in Antivenom injection while polio drops that are administered into the body contain (1) Activated pathogens (2) Harvested antibodies (3) Gamma globulin (4)Attenuated pathogens 21. ……… and …….arebacterialdiseases (1) Tetanus and mumps (2) Herpes and influenza (3) Cholera and tetanus (4) Typhoid and smallpox 22. …………………is a supportive statement for the below sentence “Thalassemia and sickle cell anemia are caused due to a problem in globin molecule synthesis.” (1) Both are due to a quantitative defect in globin chain synthesis (2) Thalassemia is due to less synthesis of globin molecules (3) Sickel cell anemia is due to a quantitative problem of globin molecules (4) Both are due to a qualitative defect in globin chain synthesis 23. ………… is not an autoimmune disease? (1) Psoriasis (2) Rheumatoid arthritis (3) Alzheimer’s disease (4) Vitiligo 24. Which is the correct statement among below ones? (1) Turner’s syndrome - XO monosomy in females (2) Down’s syndrome - XO monosomy (3) Klinefelter’s syndrome - XXY in females (4) Sickle cell anaemia - X-linked dominant disease 25. Thalassemia is :- (1) a-chain is less synthesised (2) b-chain is less synthesised (3) Correctly sequenced b-chain is less synthesised (4) Both a and b-chains are less synthesised 26.Which statement explainsNicotine perfectly? (1) Stimulates adrenal gland (2) is an alkaloid (3) is present in tobacco (4) All of these 27. Among below mentioned ones Cancers are treated mostlyby combination of:- (a) Surgery (b) Radiotherapy (c) Chemotherapy (1) a and b (2) a and c (3) b and c (4) a, b and c 28. Which statement of the following is correct about Plasmodium? (1) Gametocyte stage infects human body (2) It multiplies by sexual method of reproduction in human liver (3) human RBC are ruptured and releases a toxin hemozoin (4) development of gametocyte possible only in female culex mosquito 29.Total number of chromosomes in a sterile female, where Barr body is absent, ovary is underdeveloped? (1) 46 (2) 47 (3) 45 (4) 44 30. From the below listhow many of the cells constitute cellular barrier of innate immunity Read the following list carefully. Neutrophils, erythrocytes, monocytes, macrophages, B lymphocyte, NK cells, T lymphocytes, thrombocytes? (1) Three (2) Four (3) Five (4) Six 31. …………… option is true related to production and functions of a molecule which is a glycoprotein and represented as H2 L2 Produced by Functions
No Produced by Functions
a T-Killer cells Cellular immunity
b B cells inflammations
c NK cells Phagocytosis
d Plasma cells opsonisation
32. Match the columns:-
I II
a LSD i CNS / stimulant
b Nicotine ii Raise blood pressure
c Morphine iii Sedative and analgesic
d Cocaine iv hallucinogen
(1) iv ii iii i (2) iv iii ii i (3) iv i ii iii (4) iv i iii ii 33. Vinblastine is obtained from: (1) Vinca rosea (2) Papaver somniferum (3) Erythroxylum coca (4) Cannabis sativa 34. Choose the correct option by matchingthe item of column-I with column-II
Column I Column II
a Morphine i Cannabis sativa
b Nicotine ii Papaver somniferum
c Marijuana iii Erythroxylum coca
d Coca alkaloids iv Nicotiana tobacum
Options : (1) A-i, B-ii, C-iii, D-iv (2) A-ii, B-iv, C-i, D-iii (3) A-iii, B-ii, C-i, D-iv (4) A-iv, B-i, C-ii, D-iii 35. Choose the correct regarding AIDS causative agent HIV? (1) HIV is undeveloped retrovirus. (2) HIV does not escape but attacks the acquired immune response. (3) HIV is enveloped virus containing one molecule of single-stranded RNA and one molecule of reverse transcriptase. (4) HIV is enveloped virus that contains two identical molecules of single-stranded RNA and two molecules of reverse transcriptase. 36. Choose each disease with its correct type of vaccine: (a) tuberculosis (i) harmless virus (b) whooping cough (ii) inactivated toxin (c) diphtheria (iii) killed bacteria (d) polio (iv) harmless bacteria (a) (b) (c) (d) (1) (iii) (ii) (iv) (i) (2) (iv) (iii) (ii) (i) (3) (i) (ii) (iv) (iii) (4) (ii) (i) (iii) (iv) 37. Inside the human body, the cell-mediated immunity is carried out by: (1) Erythrocytes (2) T-lymphocytes (3) B-lymphocytes (4) Thrombocytes 38. To detect ……….. Widal test is carried out. (1) HIV/AIDS (2) Typhoid fever (3) Malaria (4) Diabetes mellitus 39. For the detection of …….. Schick test is used. (1) Bordetella pertussis (2) Chlamydia trochomatis (3) Diplococcus pnemoniae (4) Corynebacterium diptheriae 40. Dengue fever is transmitted by:- (1) Aedes aegypti (Tiger mosquito) (2) Culex fatigaus (3) Anopheles (4) Aedes donovoni 41. A person has long legs, female like appearance with breast (gynecomastia) and sterile will have one of the genetic compliment (1) XO (2) XXY (3) XXO (4) XXX 42. In certain seasons asthmatic attacks are increased. It’s related to (1) Low temperature (2) Hot and humid environment (3) Eating fruits preserved in tin containers (4) Inhalation of seasonal pollen 43. Immune system retains the memory of which response in vaccination process:- (1) Passive immunization response (2) Primary immune response (3) Secondary immune response (4) All the above 44. Which of the following is called as cannabinoid? (1) Morphine (2) Heroin (3) Codeine (4) Charas 45. Blood cancer is – (1) Leukemia (2) Thrombosis (3) Haemophilia (4) Hemolysis 46. Which of the following are the properties of acquired immunity? (1) Specificity (2) Diversity (3) Immunological memory (4) All of the above 47. In antibodythe light chain and heavy chain of are joined with the help of: (1) H–H bond (2) S–S bond (3) Ionic bond (4) Phosphodiester bond 48. The malignant malaria is caused by:- (1) P. vivax (2) P. malaria (3) P. falciparum (4) All 49. What is SarcomaCancer? (1) Epithelial tissue (2) Mesodermal tissue (3) Blood (4) Endodermal tissues 50. Carcinoma refers to:- (1) Malignant tumours of the connective tissue (2) Malignant tumours of the skin (3) Benign tumours of the colon (4) Benign tumours of the connective tissue 51. Opioids receptors are present in:- (1) CNS (2) GIT (3) Both (1) and (2) (4) Spleen 52. All the below statements are correct for:- • Smack • Diacetylmorphine • White • Odourless • Bitter crystalline compound • Extracted from latex of poppy plant (1) Morphine (2) Heroin (3) Coccain (4) Barbiturates 53. Among adolescents, which measure would be useful for prevention and control of alcohol and drug abuse? (a) Avoid undue peer pressure (b) Seeking professional and medical help (c) Looking for danger sign (d) Education and counselling (e) Seeking help from parents and peers (1) a, b, d (2) a, c, d, e (3) c, e (4) a, b, c, d, e 54. The figure below shows an angiogram of the coronary blood vessel. Which one of the following statements correctly describes, what is being done
(1) It is coronary artery which has a cancerous growth that is being removed (2) It is coronary artery which is blocked by a plaque and the same is being cracked (3) It is coronary vein in which the defective valves are being opened (4) It is coronary vein blocked by a parasite (blood fluke) that is being removed 55. Which antibody indicates the infection of foetus (Intrauterine infection):- at the time of birth presence of (1) IgG (2) IgD (3) IgM (4) IgA 56. An antibody is a :- (1) Component of blood (2) Secretion of mammalian erythrocyte (3) Molecule that specifically reacts to an antigen (4) White corpuscle which attack invading bacteria 57. Among the following which are viral diseases? (1) Typhoid, Tuberculosis (2) Ringworm, AIDS (3) Common Cold, AIDS (4) Dysentery, Common Cold 58. From the below statementsselect the correct: (1) Cocaine is given to patients after surgery as it stimulates recovery (2) Barbiturates when given to criminals make them tell the truth (3) Morphine is often given to persons who have undergone surgery as a pain killer (4) Chewing tobacco lowers blood pressure and heart rate 59. Which of the following is correct regarding HIV, hepatitis and Pneumoconiosis? (1) HIV is virus and both aredisease (2) HIV and hepatitis is virus and pneumoconiosis is disease. (3) HIV and hepatitis are viral disease an pneumoconiosis is bacterial disease (4) All are viral disease 60. Select the true statements. (1) Blood group ’O’ person does not have anti-A, anti-B antibodies in blood plasma. (2) Eosinophilresists the bacterial infection. (3) RBC contains carbonic anhydrase. (4) T-wave of normal ECG represents depolarization of ventricle 61. Diagram showing ringworm affected area of skin. Which given pathogen is not related with disease?
(1) Microsporum (2) Trichophyton (3) Epidermophyton (4) Wuchereria 62. which is the disorder of muscular or skeletal system :- (1) Myasthenia gravis-Auto immune disorder which inhibits sliding of myosin filaments (2) Gout-inflammation of joints due to extra deposition of calcium (3) Muscular dystrophy - age related shortening of muscles (4) Osteoporosis-decrease in bone mass and higher chances of fractures with advancing age 63. In the ECG of a normal person. The P- wave represents the:
(1) End of systole (2) Contraction of both the atria (3) Initiation of the ventricular contraction (4) Beginning of the systole 64. Monosomy of chromosomes causes….? (1) Turner syndrome (2) Haemophilia (3) Phenyl ketonuria (4) Sickle cell anaemia 65. Due to……….Grafted kidney may be rejected in a patient (1) Innate immune response (2) Humoral immune response (3) Cell-mediated immune response (4) Passive immune response 66. If you suspect major deficiency of antibodies in a person, to which of the following would you look for confirmatory evidence? (1) Serum globulins (2) Fibrinogin in plasma (3) Initiation of the ventricular contraction (4) Beginning of the systole 64. Monosomy of chromosomes causes….? (1) Turner syndrome (2) Haemophilia (3) Phenyl ketonuria (4) Sickle cell anaemia 65. Due to……….Grafted kidney may be rejected in a patient (1) Innate immune response (2) Humoral immune response (3) Cell-mediated immune response (4) Passive immune response 66. If you suspect major deficiency of antibodies in a person, to which of the following would you look for confirmatory evidence? (1) Serum globulins (2) Fibrinogin in plasma 178. In relation to mutations, for cancer cells which of the following statements is not true? (1) Mutations in proto-oncogenes accelerate the cell cycle. (2) Mutations destroy telomerase inhibitor. (3) Mutations inactive the cell controls. (4) Mutations inhibit production of telomerase. 67. Match the following sexually transmitted diseases (Column-I) with their causative agent (Column-II) and select the correct option:
Column I Column II
a Gonorrhea i HIV
b Syphilis ii Neisseria
c Genital warts iii Treponema
d AIDS iv Hman papilloma Virus
(a) (b) (c)(d) (1) iii iv i ii (2) iv ii iii i (3) iv iii ii i (4) ii iii iv i 68. Match the column
Column I Column II
a smack i Erythroxylum coca
b coke ii Cannabis sativa
c marijuana iii Nicotiana tobacum
d nicotine iv Papaver somniferum
(1) a-i, b-ii, c-iii, d-iv (2) a-iii, b-i, c-ii, d-iv (3) a-iv, b-i, c-ii, d-iii (4) a-i, b-iii, c-iv, d-ii 69. Mosquito transmitted pathogen cause chronic inflammation of lymphatic vessels in ……….? (1) Elephantiasis (2) Ascariasis (3) Ringworm disease (4) Amoebiasis 70. Which is correct about following chemical?
(1) Morphine-act as a depressant (2) Cannabinoid - effect on cardiovascular system (3) Cocain - euphoria and increases energy (4) Opioid - obtained from poppy plant 71. Radiations which is causing DNA damage and leading to neoplastic transformation are…… (a) Ionising radiations (b) X-rays (c) Non-ionising radiations (d) UV-rays (1) a and c (2) b and d (3) a and b (4) a, b, c and d 72. Penicillin is bacteriolytic because :- (1) It checks spindle formation (2) It destroys chromatin (3) It inhibit cell wall formation (4) It inhibit protein systhesis 73. Content of BCG vaccine (1) killed mycobacteria (2) live attenuated mycobacteria (3) recombinant protein of mycobacteria (4) antibody against mycobacteria 74. Which of the following required Tissue matching? (1) Homograft (2) Auto graft (3) Allograft (4) both (1) and (3) 75. By radiation Cancer cells are more easily damaged than normal cells because they are– (1) Undergoing rapid divisions (2) Different in structure (3) Non-dividing (4) Starved of mutation 76. Cocaine is derived from:- (1) Erythroxylum coca (2) Coffea Arabica (3) Thea sinensis (4) Cannabis sativa 77. Cell mediated immunity is provided by …….. (1) B–lymphocytes (2) Plasma cells (3) C–lymphocytes (4) Thymus cells or Thymocytes 78. ………. are the most active phagocytic white blood cells. (1) Eosinophils and lymphocytes (2) Neutrophils and monocytes (3) Neutrophils and eosinophils (4) Lymphocytes and macrophages 79……….. is prevented by BCGvaccine. (1) Tuberculosis (2) Typhoid (3) AIDS (4) Cholera 80. Hepatitis B vaccine is (1) Produced by recombinant DNA technology (2) Produced in E.coli (3) Formation of antibody polypeptide of pathogen (4) Whole pathogen is given 81. In humans Ringworm is caused by: (1) Viruses (2) Bacteria (3) Fungi (4) Nematodes 82. Which statements is correct with respect to AIDS ? (1) The causative HIV retrovirus enters helper T-lymphocytes thus reducing their numbers (2) The HIV can be transmitted through eating food together with an infected person (3) Drug addicts are least susceptible to HIV infection (4) AIDS patients are being fully cured cent percent with proper care and nutrition 83. Klinefelter’s syndrome is ………… condition. (1) 44 + XXY (2) 44 + XO (3) 44 + XXX (4) 44 + YY 84. AIDS is due to:- (1) Reduction in number of helper T-cells (2) Lack of interferon (3) Reduction in number of killer T-cells (4) Autoimmunity 85. By the chronic intake of……….Cirrhosis of liver iscaused. (1) Tobacco (Chewing) (2) Cocaine (3) Opium (4) Alcohol 86. The clinical gene therapy was first given for treating: (1) Rheumatoid arthritis (2) Adenosine deaminase deficiency (3) Diabetes mellitus (4) Chicken pox 87. Choose the correctmatch with their chromosomal condition? (1) Sickle Cell Anaemia – Heterozygous condition of HbS gene (2) Down’s Syndrome – Trisomy of chromosome 22 (3) Turner’s Syndrome – XO condition. (4) Klinefelter’s Syndrome – Failure of cytokinesis after telophase. 88. In the case of Plasmodium sexual phases (gametocyte) occurs in: (1) Liver cells of human (2) RBC of human (3) Intestine of mosquito (4) Salivary glands of mosquito 89. The pulmonary disease in which alveolar surface area involved in gas exchange is drastically reduced due to damage in the alveolar walls. (1) Asthma (2) Pleurisy (3) Emphysema (4) Pneumonia 90. Asthma may be attributed to: (1) bacterial infection of the lungs (2) allergic reaction of the mast cells in the lungs (3) inflammation of the trachea (4) accumulation of fluid in the lungs 91. An autosomal primary nondisjunction disease is……….. (1) Klinefelter’s Syndrome (2) Turner’s Syndrome (3) Sickel Cell Anemia (4) Down’s Syndrome 92. Select the correct statement (1) all tumors are not cancerous (2) cancerous cells always show contact inhibition (3) all cancers are caused by viruses (4) all tumour cells show metastasis 93. Erythropoiesis only occurs in:- (1) Erythroblast (2) Myeloid tissue (3) Proerythroblast (4) Reticulocytes 94. Colostrum is rich in:- (1) IgA (2) IgG (3) IgE (4) IgM 95. …………. Is having the feature of "Fluid filled alveoli" (1) Amoebiasis (2) Pneumonia (3) Ascariasis (4) Typhoid 96. What is Blood cancer? (1) Leukemia (2) Thrombosis (3) Haemophilia (4) Hemolysis 97. …………. is a primary lymphoid organ:- (1) Bone marrow and spleen (2) Spleen and thymus (3) Bone–marrow and tonsils (4) thymus gland and bone marrow 98. In humans Cri–du–chat syndrome is caused by : (1) Fertilization of an XX egg by a normal Y–bearing sperm (2) Loss of half of the short arm of chromosome 5 (3) Loss of half of the long arm of chromosome 5 (4) Trisomy of 21st chromosome 99. In a molecule of antibody …….. number of polypeptide chains present: (1) 2 (2) 4 (3) 6 (4) 8 100. In male Most common cause of mental retardation (Congenital) children is :- (1) Jacob syndrome or super males (2) Down’s syndrome (3) Patauo’s syndrome (4) Phenyl ketonuria 101. In T-lymphocyte,the letter "T" refers to: (1) Thymus (2) Thyroid (3) Thalamus (4) Tonsil 102. Which one of the following options gives the correct matching of a disease with its causative organism and mode of infection.
103. A cancer of………. Is called as Carcinoma. (1) Lymphocytes (2) Connective tissue (3) Erythrocytes (4) Ectoderm and endoderm 104. Among the following statements is correct with respect to immunity? (1) Antibodies are protein molecules, each of which has four light chains (2) Rejection of a kidney graft is the function of B-lymphocytes. (3) Preformed antibodies need to be injected to treat the bite by a viper snake. (4) The antibodies against small pox pathogen are produced by T-lymphocytes 105. The largest percentage in human milk among the following immunoglobulinis…………………. (1) IgG (2) IgD (3) IgM (4) IgA 106. How many phenanthrene rings are present in the given structure of morphinemolecule?
(1) 2 (2) 3 (3) 4 (4) Absent 107. In which of the following barrier Fever, pH and body secretions are included (1) Physical (2) Cellular (3) Cytokine (4) Physiological 108. For Cancer the treatmentis: (1) Surgery (2) Radiation (3) Chemotherapy (4) All 109. "Don’t die of ignorance" is said for:- (1) Cancer (2) AIDS (3) Malaria (4) Filaria 110. From the African population Sickle cell anemia has not been eliminated. Why? (1) It is controlled by recessive genes (2) It is not a fatal disease (3) It provides immunity against malaria (4) It is controlled by dominant genes 111. What is a Vaccine? (1) Type of antibody (2) Inactivated antigen (3) Inactivated pathogen (4) Activated pathogen 112. What are congenital diseases? (1) Diseases present by birth (2) Deficiency diseases (3) Spread from one individual to another (4) Occur during life 113. For the detection of cancers which one of the following techniques is safest? (1) Radiography (X–ray) (2) Computed tomography (CT) (3) Histopathological studies (4) Magnetic resonance imaging (MRI) 114. Widal test is employed for detecting – (1) Pneumonia (2) Malaria (3) Typhoid (4) Cholera 115. During malaria, toxin which is responsible for chill and high fever is……………… (1) Haematin (2) Haemoglobin (3) Haemozoin (4) Heam 116. Ascaris infection usually occurs by (1) mosquito bite (2) drinking water containing eggs of Ascaris (3) eating imperfectly cooked pork. (4) Tse-tse fly 117. In AIDS, HIV that first starts destroying: (1) Leucocytes (2) Helper T- Lymphocytes (3) Thrombocytes (4) B- Lymphocytes 118.Which type of immune-response is responsible fornon-acceptance often due to by the patient’s body such rejections of Transplantation of tissues/organs fails? (1) Cell - mediated immune response (2) Hormonal immune response (3) Physiological immune response (4) Autoimmune response 119. Select the correct statement:- (a) Yoga has been practised to achieve physical and mental health (b) Infectious diseases are very common and every one of us suffers from these at some time or other (c) AIDS is an infectious disease (d) Cancer is non-infectious disease (e) Healthy persons bring economic prosperity (1) a, b and c (2) b, c, d and e (3) c and d (4) a, b, c, d and e 120. Primary response which is of ____(A)____ intensity. Subsequent encounter with the same pathogen elicit a ___(B)___intensified ___(C)___ response, which is based on ___(D)___. (1) High Low Anamnestic Specificity (2) Low High Primary Diversity (3) Low High Secondary Memory (4) High Low Primary Memory 121. Under which one Vaccine is included? (1) Natural passive acquired immunity (2) Natural active acquired immunity (3) Artificial active acquired immunity (4) Artificial passive acquired immunity 122. In HIV Nucleic acid is:- (1) ss RNA (2) ds RNA (3) ss DNA (4) ds DNA 123. Which cancer is increasing due to Tabacco chewing ? (1) Oral cancer (2) Lung cancer (3) Urinary bladder cancer (4) Prostate cancer 124. Match the disease in Column I with the appropriate items (pathogen/prevention/treatment) in Column II
(1) a – (ii), b – (i), c – (iii), d – (iv) (2) a – (ii), b – (iii), c – (iv), d – (i) (3) a – (i), b – (ii), c – (iii), d – (iv) (4) a – (ii), b – (iv), c – (i), d – (iii) 125. Thalassemia is due to :- (1) Increased consumption of sea food (2) Decreased synthesis of b-polypeptide chain of Haemoglobin (3) Decreased production of R.B.C. that cause anemia (4) All of the above 126. Among the following four statements (a-d) select the two correct ones regarding kidney transplant (a) Even if a kidney transplant is proper the recipient may need to take immunosuppresants for a long time (b) The cell-mediated immune response is responsible for the graft rejection (c) The B-lymphocytes are responsible for rejection of the graft (d) The acceptance or rejection of a kidney transplant depends on specific interferons The two correct statements are : (1) (a) and (b) (2) (b) and (c) (3) (c) and (d) (4) (a) and (c) 127. Trisomic autosomal congenital disease is: - (1) Criminal syndrome (2) Down’s syndrome (3) Klinefelter’s syndrome (4) Turner’s syndrome 128. MHC–II is present on:- (1) Macrophage (2) B-lymphocytes (3) Dendritic cells (4) All of the above 129. Cancer cells are characterized by: (1) Uncontrolled growth (2) Invasion of local tissue (3) Spreading to other body parts (4) All the above 130. In a normal cell which of the following gene is absent? (1) Proto-oncogene (2) Tumor-suppressor gene (3) Gene related to program cell death (4) Oncogene 131. What is Antigen? (1) Substances which stimulates the production of venom (2) Vaccine (3) Antibody production stimulating agent (4) Part of the body defence system 132. Select the correct one of the following statements. (1) Malignant tumours may exhibit metastasis (2) Patients who have undergone surgery are given cannabinoids to relieve pain (3) Benign tumours show the property of metastasis (4) Heroin accelerates body functions 133. Trisomic autosomal congenital disease is: - (1) Criminal syndrome (2) Down’s syndrome (3) Klinefelter’s syndrome (4) Turner’s syndrome 134. Yersinia pestis causes……….: (1) Plague (2) Black fever (3) Xenopsylla cheopsis (4) All of these 135. Which of the following cannot be detected in a developing foetus by amniocentesis? (1) Jaundice (2) Klinefelter’s syndrome (3) Sex of the foetus (4) Down’s syndrome 136. Which is the particular type of drug that is obtained from the plant whose one flowering branch is shown below:-
(1) Hallucinogen (2) Depressant (3) Stimulant (4) Pain - killer 137. Select the correct statements: (a) Haemophilia is a sex-linked recessive disease (b) Down’s syndrome is due to aneuploidy (c) Phenylketonuria is an autosomal recessive gene disorder. (d) Sickle cell anaemia is a X-linked recessive gene disorder (1) (a) and (d) are correct (2) (b) and (d) are correct (3) (a), (c) and (d) are correct (4) (a), (b) and (c) are correct 138. Leiomyoma orUterine fibroid is :- (1) hypophyseal tumor (2) benign tumor of uterus (3) prostatic carcinoma (4) epithelial tumor of cervix 139. Opioids are the drugs which bind to specific opioid receptors present in our CNS and GIT. Heroin, commonly called smack is chemically................, which is white, odourless, bitter crystalline compound, obtained by……..........of morphine? (1) Diacetylmorphine, methylation (2) Diacetylmorphin, acetylation (3) Benzodiazepines, amination (4) Amphetamines, acetylation 140. The given diagram is showing skeletal structure of cannabinoid molecule. Cannabinoids interact with cannabinoid receptors present principally in the brain. Natural cannabinoids are obtained from inflorescences of the plant cannabis sativa. Nature of cannabinoids is….
(1) Aliphatic (2) Phenolic (3) Ketonic (4) Ether 141. What is ’BCG’ vaccine? (1) Killed vaccine (2) Live attenuated vaccine (3) Toxoid (4) All of the above 142.For the detection of…………. ELISA test is used:- (1) HIV infection (2) Hepatitis–B (3) Both (1) and (2) (4) None of these above 143. Among the below ones, secretary antibodies:-
144. Which one of the following alphabets is the correct representation of the respective activity of the human heart in a standard ECG,? (1) P – depolarisation of the atria (2) R – repolarisation of ventricles (3) S – start of systole (4) T – end of diastole 145. The reason for the popularity of Cornea transplantation is……? (1) It is easy to preserve. (2) It transplants very easily. (3) It can be easily obtained. (4) Cornea is avascular. 146. Haemophilus influenzaecauses:- (1) Typhoid (2) Plague (3) Pneumonia (4) Influenza 147. Difference between Common cold and pneumonia is that : (1) Pneumonia is caused by a virus while the common cold is caused by the bacterium Haemophilus influenzae (2) Pneumonia pathogen infects alveoli whereas the common cold affects nose and respiratory passage but not the lungs. (3) Pneumonia is a communicable disease whereas the common cold is a nutritional deficiency disease. (4) Pneumonia can be prevented by a live attenuated bacterial vaccine whereas the common cold has no effective vaccine. 148. The birth of an abnormal human baby with ’XXX’ sex chromosomes was due to : (1) formation of abnormal ova in the mother (2) fusion of two ova and one sperm (3) fusion of two sperms and one ovum (4) formation of abnormal sperms in the father 149. The immunity type which is responsible for rejection of graft? (1) Innate immunity (2) Humoral immunity (3) Antibody mediated immunity (4) Cell mediated immunity 150. The part of brain to be affected first in drunk person, is :- (1) Cerebellum (2) Pons varolli (3) Medulla oblongata (4) Cerebrum 151. Which waverepresents depolarization of atria? (1) T–wave (2) Q–wave (3) QRS complex 152. In humans which one of the following conditions is correctly matched with its chromosomal abnormality or linkage? (1) Erythroblastosis foetalis –X linked (2) Down syndrome – 44 autosomes + XO (3) Klinefelter’s syndrome –44 autosomes +XXY (4) Colour blindness – Y linked 153. Which diagnostic technique will you recommend for Acquired Immuno Deficiency Syndrome detection? (1) ELISA (2) MRI (3) Ultra sound (4) WIDAL 154.For cancer the best diagnosis is done by:- (1) Biopsy (2) X–ray (3) Microscopic examination of body fluids (4) Surgery 155. Identify the chemical that forms a chemical to prevent itself from further viral infection when a plant or human cell infected by virus :- (1) Virions (2) Interferons (3) Anti-infection (4) Antivirion 156. In Down’s syndrome the reason for trisomy (1) Non disjunction during sperm formation (2) Non disjunction during egg formation (3) Non disjunction at the time of egg or sperm formation (4) Addition of one extra chromosome during mitosis 157. In which disease ’Pannus’ is formed:- (1) Hashimoto disease (2) Multiple sclerosis (3) Rheumatoid arthritis (4) Myasthenia gravis 158. In body, first line of defence is:- (1) Skin and Mucous membrane (2) Neutrophils and Monocytes (3) Fever (4) Interferon 159. Select the correct statement regarding the particular psychotropic drug specified (1) Morphine leads to delusions and disturbed emotions (2) Barbiturates cause relaxation and temporary euphoria (3) Hashish causes after thought perceptions and hallucinations (4) Opium stimulates nervous system and causes hallucinations 160. Find out an infectious disease from below options. (1) Coronary thrombosis (2) Diphtheria (3) Diabetes mellitus (4) Hypertension 161. A human female with Turner’s syndrome:- (1) has 45 chromosomes with XO. (2) Has one additional X chromosome. (3) Exhibits male characters. (4) Is able to produce children with normal husband. 162. In higher vertebrates, the immune system can distinguish self-cells and non-self. If this property is lost due to genetic abnormality and it attacks self-cells, then it leads to:- (1) Allergic response (2) Graft rejection (3) Auto-immune disease (4) Active immunity 163. Select the incorrect statement? (1) Genital herpes if detected in early stage then is completely curable. (2) Gonorrhoea if detected in early stage than is completely curable. (3) HIV can be transmitted from mother to foetus during pregnancy (4) Hepatitis-B can be transmitted even after the use of condom. 164. G-6-P dehydrogenase deficiency is associated with lysis of:- (1) Leucocytes (2) Lymphocytes (3) Platelets (4) RBCs 165. Deficiency of enzyme ADA leads to:- (1) AIDS (2) SCID (3) Anaphylactic shock (4) both (1) and (2) 166. Liver gets damaged in alcoholics as it: (1) Accumulates excess of fats (2) Stores excess of glycogen (3) Secretes more bile (4) Has to detoxify alcohol 167. ’ In HIV ’Capsid is formed by :- (1) P–24 (2) lipoprotein (3) P–17 (4) Both (1) and (3) 168. Neutrophils and monocytes are important cells participating in:- (1) Phagocytosis (2) Perforin production (3) Passive immunity (4) Antibody production 169. Vaccine of D.P.T. in an example of:- (1) Passive immunity (2) Active immunity (3) Both (4) Interferon 170. With respect to diseases and immunisation select the correct statement (1) Injection of snake antivenom against snake bite is an example of active immunisation. (2) If due to some reason B-and T-lymphocytes are damaged, the body will not produce antibodies against a pathogen. (3) Injection of dead/inactivated pathogens causes’ passive immunity (4) certain protozoans have been used to mass produce hepatitis B vaccine 171. Condition of 47 chromosomes with XXY genotype is known as :- (1) Turner’s syndrome (2) Klinefelter’s syndrome (3) Super male (4) Super female 172. Alcohol is converted into which toxic substance in the liver? (1) Formic acid (2) Acetaldehyde (3) Nicotine (4) Urea 173. What is Allograft? (1) Grafting in between the individuals of different species (2) Grafting in between the individuals of same species (3) Heterograft (4) Isograft 174. At joint Autoimmunity against the synovial membrane is called :- (1) Multiple sclerosis (2) I.D.D.M. (3) Hashimoto disease (4) Rheumatoid arthritis 175. The stage of HIV at which the infection does one usually shows symptoms of AIDS? (1) When the infecting retrovirus enters host cells (2) When viral DNA is produced by reverse transcriptase (3) When HIV replicates rapidly in helper T-lymphocytes and damages large number of these (4) Within 15 days of sexual contact with an infected person. 176. Select the one from the following which is not a sexually transmitted disease? (1) Acquired Immuno Deficiency Syndrome (AIDS) (2) Trichomoniasis (3) Encephalitis (4) Syphilis 177. ’Down syndrome’ is due to :- (1) Presence of an additional copy of chromosome (2) Presence of an additional copy of X-chromosome (3) Absence of one X-chromosome (4) Presence of an additional copy of 7th chromosome 178. Identify above diagram and pick the correct option?
(1) It is heroin and CNS depressant (2) It is obtained from flower of Papaver somniferum (3) It is cannabinoid (4) It is barbiturates 179. ……….. is also called as ’Trisomy 18’. (1) Down’s syndrome (2) Patau’s syndrome (3) Edward’s syndrome (4) Cat cry syndrome 180. From…….Opium is obtained. (1) Thea sinensis (2) Coffea arabica (3) Oryza sativa (4) Papaver somniferum 181. Interferon:- (1) Kills the virus in virus infected cell (2) Kills the virus and destroy cancerous cell (3) Stimulates the T.I.P. (Translation Inhibiting protein) (4) Antibacterial 182. What is Vaccination? (1) Treatment (2) Passive immunisation (3) Diagnosis (4) Prophylaxis 183. One usually shows symptoms of AIDS at which stage of HIV infection? (1) Within 15 days of sexual contact with an infected person. (2) When the infected retro virus enters host cells. (3) When HIV damages large number of helper T-Lymphocytes. (4) When the viral DNA is produced by reverse transcriptase. 184. Type-I diabetes is :- (1) insulin dependent (2) insulin nondependent (3) aldosterone dependent (4) glucocorticoids dependent 185. Marijuana, Ganja, and LSD are:- (1) Narcotics (2) Hallucinogens (3) Stimulants (4) Medicines 186. Cancer causative factor iscalled as…… (1) Oncogenes (2) Radiogens (3) Estrogens (4) Carcinogens 187. A person likely to develop tetanus is immunised by administering:- (1) Weakened germs (2) Dead germs (3) Preformed antibodies (4) Wide spectrum antibiotics 188. Reason by which Common cold is not cured by antibiotics is: (1) not an infectious disease (2) caused by a virus (3) caused by a Gram-positive bacterium (4) caused by a Gram-negative bacterium 189. Which of the following is correct? (1) Morphine used as sedative and pain-killer (2) Cancer – Increases contact inhibition of cells (3) Nicotine – Stimulates Islets of Langerhans to release hormone which act on liver to release enzyme to breakdown glucose. (4) Snake bites – Antigens are injected 190. From ……..LSD is obtained (1) Cannabis (2) Claviceps (3) Fusarium (4) Nostoc 191. Huntington’s chorea and sickle cell anemia are (1) Bacteria–related diseases (2) Congenital disorders (3) Pollutant–induced disorders (4) Virus–related diseases 192. Which fungi are causing ringworm disease? (1) Microsporum (2) Trichophyton (3) Epidermophyton (4) All of the above 193. The drugs, which are commonly abused are opioid, cannabinoids and coca alkaloid. Majority of these are obtained from......... while some are obtained from......... (1) Fungi, non-flowering plants (2) Flowering plants, fungi (3) Fungi, flowering plants (4) Non flowering plants, fungi 194. First milk secretion of mammary gland,the Colostrum, is rich in …………..immunoglobulin (1) IgE (2) IgM (3) IgA (4) IgG 195. ……….. Is due to tobacco chewing. (1) Mouth cancer (2) Lung cancer (3) Bone cancer (4) Leukaemia 196. What is the basis of Immunisation? (1) Memory of individuals (2) Pathogenic power (3) Phagocytosis (4) Memory of immune system 197. Among thefollowing which is bacteriostatic drug? (1) Streptomycin (2) Chloramphenicol (3) Ampicillin (4) Penicillin 198. Abnormality called female dysgenesis is individuals with a karyotype of 45 chromosomes, 44 autosome and one sex chromosome. It is otherwise called as……. (1) Down syndrome (2) Turner syndrome (3) Klinefelter’s syndrome (4) Testicular feminisation 199. ……… yields from Cannabis sativa (Hemp) (1) Bhang (2) Charas (3) Ganja (4) All the above 200. How Plasmodium enters the human body (1) Female Anopheles mosquito (2) Sporozoite (3) Trophozoite (4) Haemozoin 201. Through semen of an infected male which of the following viruses is not transferred? (1) Human immunodeficiency virus (2) Chikungunya virus (3) Ebola virus (4) Hepatitis B virus 202. Lack of relaxation between successive stimuli in sustained muscle contraction is known as:- (1) Spasm (2) Fatigue (3) Tetanus (4) Tonus 203. Find out the wrong one (1) Elephantiasis – Wuchereria (2) Amoebic dysentery – Entamoeba histolytica (3) Infective stage of Plasmodium for human – Sporozoite (4) Pneumonia – Salmonella typhi 204. Anti-histamines and steroids give a quick relief from :- (1) headache (2) Allergy (3) Nausea (4) Cough 205. This is the ECG of a normal human. Which one of its components is correctly interpreted below?
(1) Peak P - Initiation of left atrial contraction only (2) Complex QRS-One complete pulse (3) Peak T - Initiation of total cardiac contraction (4) Peak P and Peak R together – 206., Which of the following statement is incorrect about Amniocentesis? (1) It is usually done when a woman is between 14-16 weeks pregnant. (2) It is used for prenatal sex determination (3) It can be used for detection of Down syndrome (4) It can be used for detection of Cleft palate 207. Select the non-infectious disease? (1) Common cold (2) Cancer (3) Malaria (4) Cholera 208. The permanent cure of genetic defect - adenosine deaminase (ADA) deficiency may be done by : (1) Enzyme replacement therapy (2) Periodic infusion of genetically engineered lymphocytes having functional ADA cDNA (3) Administering adenosine deaminase activators (4) Introducing bone marrow cells producing ADA into cells at early embryonic stages 209. Which is not cancer – (1) Leukaemia (2) Glaucoma (3) Carcinoma (4) Sarcoma 210. In our body antibodies are complex of ……….. (1) Lipoproteins (2) Steroids (3) Prostaglandins (4) Glycoproteins 211. Surgical removal of thymus of a new born shall result in failure to mature (1) Monocytes (2) B – lymphocytes (3) T - lymphocytes (4) Basophils 212……… is connected withDiphtheria. (1) Lungs (2) Throat (3) Blood (4) Liver 213. In the treatment of Thyroid cancer which of the following isused:- (1) I131 (2) U238 (3) Ra224 (4) C14 214. Identify the molecules (a) and (b) shown below and select the right option giving their source and use.
215. Diagram is showing, skeletal structure of:-
(1) Morphine molecule (2) Cannabinoid molecule (3) Opioid molecule (4) Coca alkaloid 216. In which one of the following options the two examples are correctly matched with their particular type of immunity? Examples Type of immunity
217. Lysozyme that is present in perspiration, saliva and tears, destroys: (1) Most virus - infected cells (2) Certain fungi (3) Certain types of bacteria (4) All viruses 218. Match the columns with regards to Vector and Disease Column-I Column-II p.Culex i.Dengue q.Anopheles ii.Filariasis r.Aedes iii.Malaria (1) p-i, q-ii, r-iii (2) p-ii, q-iii, r-i (3) p-ii, q-i, r-iii (4) p-i, q-iii, r-ii 219. Assertion: -due to biting of freshly born female anopheles mosquito, whose mother was a carrier of malarial parasite, Sporozoite of malarial parasite enter in the human body. Reason: - Male & female gametocytes are formed in the human intestine. (1) A (2) B (3) C (4) D 220. Assertion: - Gonorrhoea is a dreaded disease. Reason: -Even if it is detected at early stage, it cannot be cure completely (1) A (2) B (3) C (4) D 221. Assertion: -Piece of the suspected tissue cut into thin sections is stained and examined under X-ray by a pathologist in biopsy test for cancer,. Reason: - Use of X-ray is able to generate a 3-D image of the section of affected tissue. (1) A (2) B (3) C (4) D 222. Assertion: – Interferons are a type of antibodies produced by body cells infected by bacteria. Reason:At the site of injury interferons stimulate inflammation. (1) A (2) B (3) C (4) D 223. Assertion: cigarette smoking.is the reason ofEmphysema. Reason: - Cigarette smoking increases the gaseous exchange area. (1) A (2) B (3) C (4) D 224. Assertion: - Cancerous cells show property of contact inhibition. Reason: - All tumors are cancerous. (1) A (2) B (3) C (4) D 225. Assertion: - Human Immuno deficiency virus is known to cause AIDS. Reason: - T-helper cellscountreduces (1) A (2) B (3) C (4) D 226. Assertion :- Graphical representation of the electrical activity of heart during cardiac cycle is called asECG . Reason :- To obtain a standard ECG, patient is connected to machine with two leads, one with left wrist and one with left ankle. (1) A (2) B (3) C (4) D 227. Assertion: -Only after sterilization injection and syringes should be used Reason :- Infections like Hepatitis-B and HIV may spread. (1) A (2) B (3) C (4) D 228. Assertion :- Allergic reactions like difficulty in breathing, sneezing and watering eyes can be caused by Dust, mites. Reason :- These allergic reactions occurs due to release of histamine. (1) A (2) B (3) C (4) D 229. Most rediosensitive tissue of body is : (1) bone marrow (2) platelet (3) nervous tissue (4) lymphocyte 230. Turner’s syndrome is caused due to :- (1) Loss of one X-chromosome (44 + XO) (2) Loss of one autosome (43 + XX) (3) Presence of one extra X-chromosome (44 + XXY) (4) Presence of one extra Y-chromosome (44 + XYY) 231. Assertion: - a–interferon is given to cancer patient which helps in destroying the tumour. Reason: - a-interferon is biological response modifiers, which activates the immune system and helps in destroying tumour. (1) A (2) B (3) C (4) D 232. Assertion: - Alpha interferon is used in treatment of cancer. Reason: - It activates immune system and help in destroying tumor cells. (1) A (2) B (3) C (4) D 233. Assertion: –Clinically used analgesics are LSD and marijuana. Reason:– Both these drugs suppress brain function. (1) A (2) B (3) C (4) D 234. Assertion: –Until the body in which they reside dies,Cancer cells are virtually immortal. Reason: – Cancer is caused by damage to genes regulating the cell division cycle. (1) A (2) B (3) C (4) D 235. Assertion: - Smoking makes oxygen less available to the body. Reason: - In presence of CO, O2 binds less with haemoglobin. (1) A (2) B (3) C (4) D 236. Assertion: -With the advancement of age, size of thymus decreases. Reason: - Thymosin secretion decreases hence immunity decreases. (1) A (2) B (3) C (4) D 237. Assertion :- In blood Natural Killer cells are found. Reason: - These are type of lymphocytes. (1) A (2) B (3) C (4) D 238. Assertion :- A female is sterile as their ovary are rudimentary. Reason :- Absence of one x-chromosome i.e. 45 with XO (1) A (2) B (3) C (4) D 239. Assertion: -Mother’s milk is more essential for the new born baby,. Reason: - Milk produced during initial few day contain IgD. (1) A (2) B (3) C (4) D 240. Assertion: -After grafting, organs transplant from unmatched donor is rejected Reason: - Cell mediated immunity provided by Tlymphocyte may be responsible for organ rejection. (1) A (2) B (3) C (4) D 241. Assertion: – Dope test is used to estimate the level of blood alcohol by analyzing the breath of persons drinking alcohol. Reason: – A drunken person usually feels tense and is less talkative. (1) A (2) B (3) C (4) D 242. Assertion: –For diarrhoeal diseases Escherichia coli, Shigella sp. And Salmonella sp. is all responsible. Reason: – Dehydration is common to all types of diarrhoeal diseases and adequate supply of fluids and electrolytes should be ensured. (1) A (2) B (3) C (4) D 243. Assertion: - Withdrawl of drug is characterised by anxiety, shakiness, nausea, and sweating etc. Reason: - The body functions became dependent with regular use of drugs. (1) A (2) B (3) C (4) D 244. Assertion: -For drugs,Papaver somniferum is produced. Reason: -From its latex,Morphine is extracted. (1) A (2) B (3) C (4) D 245. Assertion: - All cells having uncontrolled growth are cancerous. Reason: - UV rays can cause cancer. (1) A (2) B (3) C (4) D 246. Assertion: -Acid secretion of stomach is not affected byAntihistamine. Reason: - Antacid and antihistamine acts on different receptors. (1) A (2) B (3) C (4) D 247. Assertion: - Mast cells in the human body release excessive amounts of inflammatory chemicals which cause allergic reactions. Reason: - Allergens in the environment on reaching human body stimulate mast cells in certain individuals. (1) A (2) B (3) C (4) D 248. Assertion: – A person who has received a cut and is bleeding needs to be given tetanus toxoid. Reason: – Tetanus toxoid provides immunity by producing antibodies for tetanus. (1) A (2) B (3) C (4) D 249. Assertion: - Turner’s syndrome is characterised by short stature and infertility. Reason: - This is due to 45th chromosomes with XO. (1) A (2) B (3) C (4) D 250. Assertion: -Wuchereria bancrofti causes elephantiasis. Reason: - It is transmitted by female culex mosquito. (1) A (2) B (3) C (4) D 251. Assertion: - During organ-transplant patient is given cyclosporin-A. Reason: - It stimulates T-lymphocytes. (1) A (2) B (3) C (4) D 252. Assertion: - HIV is the most dangerous virus and disease AIDS is more focussed now days. Reason: - It kills millions of people and drugsagainst it is not completely reliable. (1) A (2) B (3) C (4) D 253. Assertion: - Malignant tumors can spread to distant sites. Reason: -Cancerous cells show uncontrolled growth and division. (1) A (2) B (3) C (4) D 254. Assertion: - HIV is a retrovirus containing ss-RNA covered by envelope. Reason: - Viral RNA form viral DNA inside host cell and produce viral particles containing viral RNA. (1) A (2) B (3) C (4) D 255. Assertion: - The ’T- wave’ represent return of the ventricle from excited to normal state. Reason: - The end of ’T-wave’ marks the end of diastole. (1) A (2) B (3) C 256. Assertion: - In severe cases of Pneumonia; the lips and finger nails may turn gray to bluish in colour. Reason: - In Pneumonia the alveoli get filled with fluid leading to severe problems in respiration. (1) A (2) B (3) C (4) D 257. Assertion: – Organ transplantation patients are given immunosuppressive drugs. Reason: – Transplanted tissue has antigens which stimulate the specific immune response of the recipient. (1) A (2) B (3) C (4) D 258. Assertion :- MRI is an excellent method to find problem in internal tissues. Reason :- Two third of the human body is made up of hydrogen which has one electron. (1) A (2) B (3) C (4) D 259. Assertion: - Ascariasis transmits through contaminated water, fruits and vegetables. Reason: - Adult Ascaris enters the vegetables by biting them. (1) A (2) B (3) C (4) D 260. Assertion: - Principle of vaccination is based on the property of ’memory’ of the immune system. Reason: - In vaccination, a preparation of antigenic protein of pathogens or inactivated/ weakened pathogen are introduced into the body. (1) A (2) B (3) C (4) D 261. Assertion: - HIV and Hepatitis-B are infectious diseases. Reason: - Both are transmitted through syringes. (1) A (2) B (3) C (4) D Answer Key
1 4 21 3 41 2 61 4
2 4 22 2 42 4 62 4
3 3 23 3 43 2 63 2
4 4 24 1 44 4 64 1
5 4 25 4 45 1 65 3
6 4 26 4 46 4 66 1
7 4 27 4 47 2 67 1
8 1 28 3 48 4 68 3
9 2 29 3 49 2 69 1
10 2 30 2 50 2 70 2
11 1 31 4 51 3 71 4
12 3 32 1 52 2 72 3
13 4 33 1 53 4 73 2
14 4 34 2 54 2 74 4
15 1 35 4 55 3 75 1
16 3 36 2 56 3 76 1
17 2 37 2 57 3 77 4
18 1 38 2 58 3 78 2
19 3 39 4 59 1 79 1
20 4 40 1 60 3 80 1
81 3 101 1 121 3 141 2
82 1 102 3 122 1 142 3
83 1 103 4 123 1 143 2
84 1 104 3 124 2 144 1
85 4 105 4 125 2 145 4
86 2 106 3 126 1 146 3
87 3 107 4 127 2 147 2
88 2 108 4 128 4 148 1
89 3 109 2 129 4 149 4
90 2 110 3 130 4 150 4
91 4 111 3 131 3 151 4
92 1 112 1 132 1 152 3
93 2 113 4 133 2 153 1
94 2 114 3 134 1 154 1
95 2 115 3 135 1 155 1
96 1 116 2 136 1 156 3
97 4 117 2 137 4 157 3
98 2 118 2 138 2 158 1
99 2 119 4 139 2 159 2
100 2 120 3 140 2 160 2
161 1 181 3 201 2 221 4
162 3 182 4 202 3 222 4
163 2 183 3 203 4 223 3
164 4 184 1 204 2 224 4
165 4 185 2 205 2 225 1
166 1 186 4 206 4 226 3
167 4 187 3 207 4 227 1
168 1 188 2 208 4 228 1
169 2 189 1 209 2 229 1
170 2 190 2 210 4 230 1
171 2 191 2 211 3 231 1
172 2 192 3 212 2 232 1
173 2 193 2 213 1 233 4
174 4 194 3 214 2 234 1
175 3 195 1 215 2 235 1
176 3 196 4 216 3 236 2
177 1 197 2 217 3 237 2
178 3 198 2 218 2 238 1
179 2 199 4 219 4 239 1
180 4 200 2 220 4 240 1
241 4
242 2
243 1
244 1
245 4
246 1
247 1
248 1
249 1
250 2
251 3
252 1
253 2
254 1
255 3
256 1
257 1
258 3
259 3
260 2
261 1
Human Health and Diseases - Previous year questions 1. Analgesic drugs [1990] (a) Form tissues (b) relieve pain (c) Relieve fatigue (d) cause pain 2. Select the wrong statements: [2015 RS] (a) W.M. Stanley showed that viruses could be crystallized (b) The term ‘contagium vivum fluidum’ was coined by M.W. Beijerinek (c) Mosaic disease in tobacco and AIDS in human being are caused by viruses (d) The viroids were discovered by D.J. Ivanowsky 3. Which of the following is not a sexually Transmitteddisease? [2015 RS] (a) Acquired Immuno Deficiency Syndrome (AIDS) (b) Trichomoniasis (c) Encephalitis (d) Syphilis 4. The active form of Entamoeba histolytica feeds upon: [2015 RS] (a) Mucosa and sub mucosa of colon only (b) Food in intestine (c) Blood only (d) Erythrocytes; mucosa and submucosa of colon 5. Where will you look for the sporozoites of the malarial parasite? [2011] (a) Saliva of infected female Anopheles mosquito (b) Red blood corpuscles of humans suffering from malaria (c) Spleen of infected humans (d) Salivary glands of freshly moulted female Anopheles mosquito 6. Which one of the following statements is correct with respect to immunity? [2012M] (a) Preformed antibodies need to be injected to treat the bite by a viper snake. (b) The antibodies against small pox pathogen are produced by T – lymphocytes. (c) Antibodies are protein molecules, each of which has four light chains. (d) Rejection of a kidney graft is the function of B-lymphocytes. 7. Which of the following endoparasites of a human does show viviparity ? [2015 RS] (a) Enterobius vermicularis (b) Trichinella spiralis (c) Ascaris lumbricoides (d) Ancylostoma duodenale 8. Asthma may be attributed to [2015 RS] (a) Bacterial infection of the lungs. (b) Allergic reaction of the mast cell in the lungs (c) Inflammation of the trachea (d) Accumulation of fluid in the lungs 9. Infection of Ascaris usually occurs by: [NEET 2013] (a) Eating imperfectly cooked pork. (b) Tse-tse fly. (c) Mosquito bite. (d) Drinking water containing eggs of Ascaris. 10. Identify the site where Wuchereria bancrofti is normally found on human body [NEET Kar. 2013] (a) Lymphatic vessels of the lower limbs (b) Muscles of the legs (c) Blood vessels of the thigh region (d) Skin between the fingers 11. Common cold differs from pneumonia in, that: [2012] (a) Pneumonia is a communicable disease Whereas the common cold is a nutritional deficiency disease. (b) Pneumonia can be prevented by a live attenuated bacterial vaccine whereas the common cold has no effective vaccine. (c) Pneumonia is caused by a virus while the common cold is caused by the bacterium Haemophilus influenzae. (d) Pneumonia pathogen infects alveoli Whereas the common cold affects nose and respiratory passage but not the lungs. 12. Widal Test is carried out to test: [2012] (a) Malaria (b) Diabetes mellitus (c) HIV/AIDS (d) Typhoid fever 13. Motile zygote of Plasmodium occurs in (a) Gut of female Anopheles [2012] (b) Salivary glands of Anopheles (c) Human RBCs (d) Human liver 14. Read the following four statements (A-D). (A) Colostrum is recommended for the new born because it is rich in antigens. (B) Chikungunya is caused by a Gram negative bacterium. (C) Tissue culture has proved useful in obtaining virus-free plants. (D) Beer is manufactured by distillation of fermented grape juice. How many of the above statements are wrong? [2012M] (a) Two (b) Three (c) Four (d) One 15. It is not possible to apply Koch’s postulates to [1999] (a) Diptheria (b) Cholera (c) Leprosy (d) Tuberculosis 16. Which one of the following is categorised as a parasite in true sense? [2011] (a) The female Anopheles bites and sucks Blood from humans (b) Human foetus developing inside the uterus draws nourishment from the mother (c) Head louse living on the human scalp as well as laying eggs on human hair (d) The cuckoo (koel) lays its eggs in crow’s nest. 17. The pathogen Microsporum responsible for ringworm disease in humans belongs to the same kingdom of organisms as that of [2011M] (a) Taenia, a tapeworm (b) Wuchereria, a filarial worm (c) Rhizopus, a mould (d) Ascaris, a round worm 18. Widal test is used for the diagnosis of [2010] (a) Malaria (b) Pneumonia (c) Tuberculosis (d) Typhoid 19. Match the disease in Column I with the appropriate item(pathogen/prevention/ treatment) in Column II. [2008] Column I Column II 1. Amoebiasis (i) Treponema pallidum 2. Diphtheria (ii) Use only sterilized food and water 3. Cholera (iii) DPT Vaccine 4. Syphilis (iv) Use oral rehydra- tion therapy (a) (1) - (i), (2) - (ii), (3) - (iii), (4) - (iv) (b) (1) - (ii), (2) - (iv), (3) - (i), (4) - (iii) (c) (1) - (ii), (2) - (i), (3) - (iii), (4) - (iv) (d) (1) - (ii), (2) - (iii), (3) - (iv), (4) - (i) 20. The ’blue baby’ syndrome results from[2006] (a) methaemoglobin (b) Excess of dissolved oxygen (c) Excess of TDS (total dissolved solids) (d) Excess of chloride 21. Which one of the following is not correctly matched [2004] (a) Glossina palpalis - Sleeping sickness (b) Culex pipiens- Filariasis (c) Aedes aegypti - Yellow fever (d) Anopheles culifacies- Leishmaniasis 22. Common cold is not cured by antibiotics because it is [2011M] (a) Caused by a virus (b) Caused by a Gram-positive bacterium (c) Caused by a Gram-negative bacterium (d) Not an infectious disease 23. Salmonella is related with [2001] (a) Typhoid (b) Polio (c) T.B. (d) Tetanus 24. Which one of the following conditions though harmful in itself, is also a potential saviour from a mosquito borne infectious disease? [2003] (a) Leukemia (b) Thalassemia (c) Sickle cell anaemia (d) Pernicious anaemia 25. Match each disease with its correct type of vaccine: [2015 RS] (A) Tuberculosis (i) harmless virus (B) Whooping cough (ii) inactivated toxin (C) Diphtheria (iii) killed bacteria (D) Polio (iv) harmless bacteria (A) (B) (C) (D) (a) (iii) (ii) (iv) (i) (b) (iv) (iii) (ii) (i) (c) (i) (ii) (iv) (iii) (d) (ii) (i) (iii) (iv) 26. Which of the following is most infectious disease? [2001] (a) Hepatitis - B (b) AIDS (c) Amoebiasis (d) Malaria 27. Bovine spongiform encephalopathy, a bovine disease is related to which human disease? (a) Cerebral spondylitis [2000] (b) Creutzfeldt-Jacob disease (c) Encephalitis (d) Kala-azar 28. Correctly match sexually transmitted disease with its pathogen? [2000] (a) Syphilis – Treponema pallidum (b) AIDS – Bacillus anthracis (c) Urethritis – Entamoeba gingivalis (d) Gonorrhoea – Leishmania donovani 29. Which of the following symptoms indicate radiation sickness? [1997] (a) Red and ulcerated skin (b) Nausea and loss of hair (c) Nausea and anaemia (d) Ulcerated skin, nausea, loss of hair and anaemia 30. For which of the following disease, there is preventive vaccine? [2000] (a) AIDS (b) Hepatitis B (c) Syphilis (d) Gonorrhea 31. Botulism caused by Clostridium botulinum affects the [1998] (a) intestine (b) Neuromuscular junction (c) Spleen (d) Lymph glands 32. Which one of the following immunoglobulins does constitute the largest percentage in human milk? [2015 RS] (a) Ig M (b) Ig A (c) Ig G (d) Ig D 33. Typhoid fever is caused by [1998] (a) Salmonella (b) Shigella (c) Escherichia (d) Giardia 34. Diptheria is caused by [1997] (a) Poisons released from dead bacterial cells into the host tissue (b) Poisons released by living bacterial cells into the host tissue (c) Excessive immune response by the host’s body (d) Poisons released by virus into the host tissues 35. Which of the following diseases is caused by a protozoan? [2015 RS] (a) Influenza (b) Babesiosis (c) Blastomycosis (d) Syphilis 36. Which one of the following diseases is now considered nearly eradicated from India? [1997] (a) Plague (b) Kala azar (c) Small pox (d) Poliomyelitis 37. If all ponds and puddles are destroyed, the organism likely to be destroyed is [1993] (a) Leishmania (b) Trypanosoma (c) Ascaris (d) Plasmodium 38. In which one of the following pairs of diseases both are caused by viruses[1996] (a) Tetanus and typhoid (b) Whooping cough and sleeping sickness (c) Syphilis and AIDS (d) Measles and rabies 39. Which of the following pair is not correctly matched? [1995] (a) Dengue fever -arbovirus (b) Plague - Yersinia pestis (c) Syphilis - Trichuris trichiura (d) Malaria - Plasmodium vivax 40. Which one of the sexually transmitted diseases is correctly matched with its pathogen?[1994] (a) Urethritis – Bacillus anthracis (b) Syphilis – Treponema pallidum (c) Gonorrhoea – Entamoeba histolytica (d) Soft sore – Bacillus brevis 41. The part of life cycle of malarial parasite Plasmodium vivax, that is passed in female Anopheles is [1992] (a) Sexual cycle (b) Pre-erythrocytic schizogony (c) Exoerythrocytic schizogony (d) Post-erythrocytic schizogony 42. A sexually transmitted disease caused by bacteria is [1994] (a) Leprosy (b) AIDS (c) Syphilis (d) Pertussis 43. Amoebiasis is prevented by [1990] (a) Eating balanced food (b) Eating plenty of fruits (c) Drinking boiled water (d) Using mosquito nets 44. Schizogont stage of Plasmodium occurs in human cells [1993] (a) Erthrocytes (b) Liver cells (c) Erythrocytes and liver cells (d) Erythrocytes, liver cells and spleen cells 45. Give the correct matching of causative Agent/germ and disease [1993] (a) Anopheles – malaria (b) Leishmania – Sleeping sickness (c) Glossina – Kala-azar (d) Wuchereria – Filariasis 46. Who discovered Plasmodium in R.B.C of human beings? [1991] (a) Ronald Ross (b) Mendel (c) Laveran (d) Stephens 47. MALT constitutes about ________ percent of the lymphoid tissue in human body. [2017] (a) 20% (b) 70% (c) 10% (d) 50% 48. Malignant tertian malarial parasite is [1991] (a) Plasmodium falciparum (b) P. vivax (c) P. ovale (d) P. malariae 49. In hot summer and cold winter, the number of malaria cases as well as Anopheles declines, Reappearance of malaria in humid warm conditions is due to [1990] (a) Surving malarial parasites in human carriers (b) Surviving sporozoites in surviving mosquitoes (c) Monkeys (d) Mosquito larvae in permanent waters 50. Antivenom injection contains preformed antibodies while polio drops that are administered into the body contain [2016] (a) Activated pathogens (b) Harvested antibodies (c) Gamma globulin (d) Attenuated pathogens 51. Malaria fever coincides with liberation of[1989] (a) Cryptomerozoites (b) Metacryptomerozoites (c) Merozoites (d) Trophozoite 52. Transplantation of tissues/organs fails often due to non-acceptance by the patient’s body. Which type of immune-response is responsible for such rejections? [2017] (a) Cell - mediated immune response (b) Hormonal immune response (c) Physiological immune response (d) Autoimmune response 53. Grafted kidney may be rejected in a patient due to : [2015 RS] (a) Cell-mediated immune response (b) Passive immune response (c) Innate immune response (d) Humoral immune response 54. In higher vertebrates, the immune system can distinguish self-cells and non-self. If this property is lost due to genetic abnormality and it attacks self-cells, then it leads to[2016] (a) Allergic response (b) Graft rejection (c) auto-immune disease (d) Active immunity 55. If you suspect major deficiency of antibodies in a person, to which of the following would you look for confirmatory evidences?[2015 RS] (a) Serum albumins (b) Haemocytes (c) Serum globulins (d) Fibrinogin in plasma 56. The cell-mediated immunity inside the human body is carried out by : [NEET 2013] (a) B-lymphocytes (b) Thrombocytes (c) Erythrocytes (d) T-lymphocytes 57. Select the correct statement with respect to diseases and immunisation? [2011M] (a) If due to some reason B-and T-lymphocytes are damaged, the body will not produce antibodies against a pathogen (b) Injection of dead / inactivated pathogens causes passive immunity (c) Certain protozoans have been used to mass produce hepatitis B vaccine. (d) Injection of snake antivenom against snake bite is an example of active immunisation 58. A person likely to develop tetanus is immunised by administering [2009] (a) Preformed antibodies (b) Wide spectrum antibiotics (c) Weakened germs (d) Dead germs 59. The letter T in T -lymphocyte refers to [2009] (a) Thalamus (b) Tonsil (c) Thymus (d) Thyroid 60. Use of anti-histamines and steroids give a quick relief from [2009] (a) Nausea (b) cough (c) Headache (d) allergy 61. To which type of barriers under innate Immunity, do the saliva in the mouth and the tears from the eyes, belong? [2008] (a) Cytokine barriers (b) Cellular barriers (c) Physiological barriers (d) Physical barriers 62. If you suspect major deficiency of antibodies in a person to which of the following would you look for confirmatory evidence? [2007] (a) Serum globulins (b) Fibrinogen in the plasma (c) Haemocytes (d) Serum albumins 63. Which one of the following acts as a physiological barrier to the entry of microorganisms in human body? [2011] (a) Epithelium of urogenital tract (b) Tears (c) Monocytes (d) Skin 64. Increased asthmatics attacks in certain seasons are related to [2007] (a) Eating fruits preserved in tin containers (b) Inhalation of seasonal pollen (c) Low temperature (d) Hot and humid environment. 65. Antibodies in our body are complex [2006] (a) Steroids(b) Prostaglandins (c) Glycoproteins (d) Lipoproteins 66. The cell in the human body invaded by the human immuno-deficiency virus (HIV) is [1999, 2006] (a) T-helper cell (b) Erythrocyte (c) B-cell (d) Macrophage 67. Small proteins produced by vertebrate cells in response to viral infections inhibiting viral multiplication are known as [2000] (a) Lipoproteins (b) Immuglobulins (c) Interferons (d) Antitoxins 68. Damage to thymus in a child may lead to: [2005] (a) A reduction in haemoglobin content of blood (b) A reduction in stem cell production (c) Loss of antibody mediated immunity (d) loss of cell mediated immunity 69. What is true about T-lymphocytes in? Mammals? [2003] (a) These are produced in thyroid (b) There are three main types — cytotoxic T-cells, helper T-cells and suppressor T-cells (c) These originate in lymphoid tissues (d) They scavenge damaged cells and cellular debris 70. Reason of lung cancer [2001] (a) Asbestos (b) Calcium fluoride (c) Cement factory (d) Bauxite mining 71. Interferons are synthesized in response to[2001] (a) Mycoplasma (b) Bacteria (c) Viruses (d) Fungi 72. Vaccines are [1999] (a) Treated bacteria or viruses or one of their proteins (b) MHC (major histocompatibility complex) proteins (c) Curative medicines (d) Monoclonal antibodies 73. During blood typing agglutination indicates that the [1999] (a) RBC carries certain antigens (b) Plasma contains certain antigens (c) RBC carries certain antibodies (d) Plasma contains certain antibodies 74. Chemically an antibody is a [1996, 99] (a) Lipid (b) nucleoprotein (c) Protein (d) lipoprotein 75. If a certain person shows production of interferons in his body, the chances are that he has got an infection of [1997] (a) Typhoid (b) measles (c) Malaria (d) tetanus 76. Short-lived immunity acquired from mother to foetus across placenta or through mother’s milk to the infant is categorised as [2003] (a) Innate non-specific immunity (b) Active immunity (c) Passive immunity (d) Cellular immunity 77. Hypersensitivity to an allergen is associated with [1996] (a) Aberrant functioning of the immune Mechanism (b) Increase in ambient temperature (c) Age of the individual (d) Food habits 78. Interferons are [1996] (a) Antiviral proteins (b) Antibacterial proteins (c) Anticancer proteins (d) Complex proteins 79. Passive immunity was discovered by [1996] (a) Edward Jenner (b) Emil von Behring (c) Robert Koch (d) Louis Pasteur 80. Which of the following diseases is due to an allergic reaction? [1995] (a) Goitre (b) Skin cancer (c) Hay fever (d) Enteric fever 81. Obstacle to large scale transplantation of organs is [1994] (a) Insufficiency of organ donors (b) Immunological rejection of foreign Bodies (c) Religious or ethnic considerations (d) Lack of effective surgical techniques 82. Cells involved in immune mechanism are[1993] (a) Erythrocytes (b) Lymphocytes (c) Eosinophils (d) Thrombocytes 83. Match the following sexually transmitted diseases (Column-I) with their causative agent (Column-II) and select the correct option: [2017] Column-I Column-II (A) Gonorrhea (i) HIV (B) Syphilis (ii) Neisseria (C) Genital Warts (iii) Treponema (D) AIDS (iv) Human Papilloma-Virus (A) (B) (C) (D) (a) (iii) (iv) (i) (ii) (b) (iv) (ii) (iii) (i) (c) (iv) (iii) (ii) (i) (d) (ii) (iii) (iv) (i) 84. Which of the following statements is not true for cancer cells in relation to mutations? [2016] (a) Mutations in proto-oncogenes accelerate the cell cycle. (b) Mutations destroy telomerase inhibitor. (c) Mutations inactive the cell controls. (d) Mutations inhibit production of telomerase. 85. A cell coded protein formed in response to infection with most animal viruses is [1994] (a) Antigen (b) Antibody (c) Interferon (d) Histone 86. HIV that causes AIDS first starts destroying: (a) Leucocytes [2015 RS] (b) Helper T- Lymphocytes (c) Thrombocytes (d) B- Lymphocytes 87. At which stage of HIV infection does one usually show symptoms of AIDS:- [2014] (a) Within 15 days of sexual contact with an infected person. (b) When the infected retro virus enters host Cells (c) When HIV damages large number of helper T-Lymphocytes. (d) When the viral DNA is produced by reverse transcriptase. 88. Which one of the following is not a property of cancerous cells whereas the remaining three are ? [2012] (a) They compete with normal cells for vital nutrients. (b) They do not remain confined in the area of formation. (c) They divide in an uncontrolled manner (d) They show contact inhibition. 89. At which stage of HIV infection does one usually show symptoms of AIDS? [2011] (a) When the infecting retrovirus enters host cells (b) When viral DNA is produced by reverse trancriptase (c) When HIV replicates rapidly in helper T-lymphocytes and damages large number of these (d) Within 15 day of sexual contact with an infected person. 90. A certain patient is suspected to be suffering from Acquired Immuno Deficiency Syndrome. Which diagnostic technique will you recommend for its detection? [2011] (a) ELISA (b) MRI (c) Ultra sound (d) WIDAL 91. Which one of the following statements is correct with respect to AIDS? [2010] (a) The HIV can be transmitted through eating food together with an infected person (b) Drug addicts are least susceptible to HIV infection (c) AIDS patients are being fully cured cent per cent with proper care and nutrition (d) The causative HIV retrovirus enters helper T - lymphocytes thus reducing their numbers 92. Ringworm in humans is caused by: [2010] (a) Bacteria (b) Fungi (c) Nematodes (d) Viruses 93. Which of the following viruses is not transferred through semen of an infected male? [2015 RS] (a) Human immunodeficiency virus (b) Chikungunya virus (c) Ebola virus (d) Hepatitis B virus 94. Which of the following is a pair of viral diseases? [2009] (a) Common cold, AIDS (b) Dysentery, common cold (c) Typhoid, tuberculosis (d) Ringworm, AIDS 95. Which one of the following statements is correct? [2009] (a) Benign tumours show the property of metastasis. (b) Heroin accelerates body functions. (c) Malignant tumours ours may exhibit metastasis. (d) Patients who have undergone surgery are given cannabinoids to relieve pain. 96. Which of the following statements is not true for retroviruses? [2004] (a) DNA is not present at any stage in the life cycle of retroviruses (b) Retroviruses carry gene for RNAdependent DNA polymerase (c) The genetic material in mature Retroviruses is RNA (d) Retroviruses are causative agents for certain kinds of cancer in man 97. ELISA is used to detect viruses, where (a) DNA-probes are required [2004] (b) Southern blotting is done (c) Alkaline phosphatase is the key reagent (d) Catalase is the key reagent 98. Cancer cells are more easily damaged by radiation than normal cells because they are (a) Starved of mutation [2004] (b) Undergoing rapid division (c) Different in structure (d) Non-dividing 99. Carcinoma refers to [2003] (a) Benign tumours of the connective tissue (b) Malignant tumours of the connective tissue (c) Malignant tumours of the skin or mucous membrane (d) Malignant tumours of the colon 100. ELISA is used to detect viruses where the key reagent is [2003] (a) RNase (b) Alkaline phosphatase (c) Catalase (d) DNA probe 101. AIDS is caused by HIV that principally infects: [2005] (a) All lymphocytes (b) Activator B cells (c) Cytotoxic T cells (d) T4 lymphocytes 102. Cancerous cells can easily be destroyed by radiations due to [2002] (a) Rapid cell division (b) Lack of nutrition (c) Fast mutation (d) Lack of oxygen 103. Human immuno deficiency virus (HIV) has a protein coat and a genetic material which is (a) Single stranded DNA [1998, 2000] (b) Double stranded DNA (c) Single stranded RNA (d) Double stranded RNA 104. Hybridoma cells are [1999] (a) Nervous cells of frog (b) Hybrid cells resulting from myeloma cells (c) Only cells having oncogenes (d) Product of spore formation in bacteria 105. Retroviruses are implicated as a cause for cancer in humans because they [1996] (a) Carry gene for reverse transcriptase (b) May carry cellular proto-oncogenes in Their genome (c) May carry v-oncogenes in their genome (d) Carry single stranded RNA as their Genetic material 106. Which is the particular type of drug that is obtained from the plant whose one flowering branch is shown below? [2014] (a) Hallucinogen (b) Depressant (c) Stimulant (d) Pain - killer 107. Which one of the following is a hallucinogenic drug? [NEET Kar. 2013] (a) Opium (b) Caffeine (c) Morphine (d) Lysergic acid diethylamide 108. Cirrhosis of liver is caused by the chronic intake of [2012] (a) Opium (b) Alcohol (c) Tobacco (Chewing) (d) Cocaine 109. Select the correct statement from the ones given below? [2010] (a) Barbiturates when given to criminals make them tell the truth (b) Morphine is often given to persons who have undergone surgery as a pain killer (c) Chewing tobacco lowers blood pressure and heart rate (d) Cocaine is given to patients after surgery as it stimulates recovery 110. Which one of the following is the correct statement regarding the particular psychotropic drug specified? [2008] (a) Hashish causes after thought perceptions and hallucinations (b) Opium stimulates nervous system and causes hallucinations (c) Morphine leads to delusions and disturbed emotions (d) Barbiturates cause relaxation and temporary euphoria 111. Sarcoma is cancer of [1994] (a) Epithelial tissue (b) Mesodermal tissue (c) Blood (d) Endodermal tissues 112. A person showing unpredictable moods, outbursts of emotion, quarrelsome behaviour and conflicts with other is suffering from [2006] (a) Borderline personality disorder (BPD) (b) Mood disorders (c) Addictive disorders (d) Schizophrenia 113. Which one of the following depresses brain activity and produced feelings of calmness, relaxation and drowsiness? [2005] (a) Morphine (b) Valium (c) Amphetamines (d) Hashish 114. Which one of the following is correct match? (a) Reserpine — Tranquilizer [2001] (b) Cocaine — Opiate narcotic (c) Morphine — Hallucinogenic (d) Bhang — Analgesic 115. L. S. D. is [2001] (a) Hallucinogenic (b) sedative (c) Stimulant (d) tranquiliser 116. Which one of the following is an opiate narcotic? [1997] (a) Barbiturates (b) Morphine (c) Amphetamines (d) LSD 117. The use of Cannabis products (bhang, ganja, charas, marijuana or hashish) causes [1997] (a) Depression of brain activity and feeling of calmness (b) Alters thoughts, perceptions and feelings (c) Suppresses brain function and relieves pain (d) Stimulates the nervous system and increases alterness and activity. 118. Which one of the following is an Indian medicinal plant? [1996] (a) Saccharum officinarum (b) Rauwolfia serpentina (c) Oryza sativa (d) Solanum melongena 119. The alkaloid ajmalicine is obtained from [1995] (a) Atropa (b) Papaver (c) Curcuma (d) Sarpgandha 120. Opiate narcotic is [1993] (a) Bhang (b) Charas (c) Heroin (d) Nicotine Answer Key
1 b 26 a 51 c 76 c 101 d
2 d 27 b 52 a 77 a 102 a
3 c 28 a 53 a 78 a 103 c
4 d 29 d 54 c 79 a 104 b
5 a 30 b 55 c 80 c 105 b
6 a 31 b 56 d 81 b 106 d
7 b 32 b 57 a 82 b 107 d
8 b 33 a 58 c 83 d 108 b
9 d 34 a 59 c 84 d 109 b
10 a 35 b 60 c 85 c 110 a
11 d 36 c 61 c 86 b 111 b
12 d 37 d 62 a 87 c 112 a
13 a 38 d 63 d 88 d 113 b
14 a 39 c 64 b 89 c 114 a
15 c 40 b 65 c 90 a 115 a
16 c 41 a 66 a 91 d 116 b
17 c 42 c 67 c 92 b 117 b
18 d 43 c 68 d 93 b 118 b
19 d 44 c 69 c 94 a 119 d
20 a 45 d 70 a 95 c 120 c
21 d 46 c 71 c 96 a    
22 a 47 d 72 a 97 c    
23 a 48 a 73 a 98 b    
24 c 49 b 74 c 99 c    
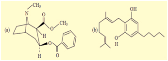
25 b 50 d 75 b 100 b